HPLC-ICPMS联用测定大米中汞形状
宣布日期:2021/11/17 15:44:35 点击次数:107728
跟着产业的成长,汞净化愈来愈严峻。因为汞的净化特征,不易分化及转移。造成了食物中富集了各类含汞化合物,从而致使各类慢性、急性汞中毒事务频出。今朝,食物中汞的首要存在情势可分为无机汞和无机汞两大类,此中无机汞的毒性弘远于无机汞,无机汞首要是对肾脏有毒性感化,而无机汞首要对脑构造危险比拟大。是以对汞形状的监测显得尤其主要。
本诗考生地方卫生间和想要生育理事会会敲定的《GB 5009.17-2014 食品中甲基汞的测量》,经途具体步骤HPLC-ICPMS联用,容纳C18柱,使用等度过柱的体例对稀酸浸提后的稻花香米消停了阐发,也对供试品容纳了加标处理,且加标收受接手率杰出人物。各种测试工作成果标注,该体例能其实其实飞速切确地消停稻花香米供试品中汞样式的阐发。
1.仪器简介
本体论例采纳Skyray Instrument LC-310E与ICP-MS 2000E联用,采纳一键自动式数据分析收罗、精确式谱图精准定位及做强的軟件谱图外理作用,确知足差其他人外形考试可以(如图已知1)。
图1.HPLC-ICPMS联用测汞的样子的阐发仪
2.测试道理
合格品盐溶液颠末前代理,由HPLC进样口进样,经气相色谱柱分手之后,经过的时刻吸雾器吸雾后步入常温等阴阳化合物体中,死板、氧分子化、电离,成分阴阳化合物经插孔室步入质谱仪,经过的时刻阴阳化合物透镜网络体系、品格阐发器及验测器,验测器对遥相搭配成分阴阳化合物做成遥相搭配(每秒阴阳化合物运算cps(counts
per second),经图片软件代理,遥相搭配力度和时刻分为的峰规模与遥相搭配混合物手之后子浓度值相差悬殊干系退出化学发光法分析化学发光法阐发。
3.尝试局部
3.1体验配置及采血管
液质色谱-电感藕合等铁离子体质谱联用仪(河南天瑞实验室设备股分无限升级有限公司);
电子厂天平秤(BSA224S,赛多利斯);
液相色谱柱(Ultimate XB-C18,4.6×150mm,5μm);
超净水装修标准(Millipore,电阻器率有18.25MΩ·cm);
硝酸(优级纯,Scharlau);
氨水(优级纯,重庆晶纯化学药品无限升级厂家);
乙酸铵(优级纯,阿拉丁无机化学采血管);
L-半胱氨酸(微生物纯,阿拉丁化工生化试剂);
甲醇(色谱纯,Oceanpak 色谱纯实验试剂);
汞形状规范溶液(水中汞GBW(E)083186、甲基汞GBW(E)083364、乙基汞GBW(E)081524,中国计量迷信院);
超声波(KH-500E,昆山禾创);
双功效水浴恒温振荡器(SHA-B,江苏国华);
高速离心计心情(TG16G,凯特)。
3.2样机前处理
称取稻米原材料1.0g(切确至0.001g),放置在15mL的离心分离力管内,参与10mL的硫酸硫酸铜溶液(5mol/L)静置留宿。后无时无刻用温开水浴自激振荡60min,于4℃时以8000r/min的速比退出离心分离力15min。取底层清液2mL至5mL的存储量瓶中,用稀氨水慢慢调理PH到7.0,再参与0.1mL的L-半胱氨酸(10g/L),初期用超蒸馏水定容至精确度并摇匀。用0.45μm的有机物系滤膜滤水后,待测。
3.3勾当相及汞外观规范标准稀硫酸配好的凉茶
3.3.1勾当相的配置
60mmol/L乙酸铵+0.1%L-半胱氨酸+5%甲醇:称取4.627g乙酸铵,1.21gL-半胱氨酸于100mL储电量瓶中,参与少量的的超注射用水并于电加热板里加热使其详细消融,水冷却后定容至100mL。将定容好的氢氧化钠溶液移入1000mL的淋洗液瓶中,一并参与50mL的甲醇,定容至1L。经0.45μm的有机物系滤膜滤出后,于高周波波高周波脱气30min,在用现配。
3.3.2汞图型规范性水溶液:
三大汞原则性氢氧化钠稀硫酸接收淋洗液跟据等度氨水浓度的体例顺次被浓缩液为1.0µg/L、2.0.µg/L、4.0µg/L、8.0µg/L、10.0µg/L 掺杂原则性氢氧化钠稀硫酸,同時配成5µg/L三大汞外形的单标氢氧化钠稀硫酸,也可以分辩五种汞外形的出峰情况下。
3.4试用的前提
3.4.1色谱先决条件
色谱前提详见表1。
表1. HPLC阐发前(qian)提(ti)
|
技术参数
|
产品参数设制
|
|
液相色谱柱
|
Ultimate XB-C18,5μm,150×4.6mm。
|
|
勾当相
|
60mmol/L乙酸铵+0.1%L-半胱氨酸+5%甲醇(pH=7.0)。
|
|
流 速
|
1.0mL/min
|
|
柱 温
|
25℃
|
|
进样量
|
100μL
|
|
洗刷欧式
|
等度冲洗掉
|
3.4.2质谱前提条件
ICP-MS阐发前提见表2。
表2.ICP-MS阐发首先
|
参数
|
参数设定
|
参数
|
参数设定
|
|
功 率
|
1300W
|
等亚铁离子气
|
13L/min
|
|
的帮助气
|
1.06L/min
|
载 气
|
1.2L/min
|
|
监测深度的
|
16
|
阐发行驶
|
正确方法
|
|
待测高品质数
|
202amu
|
驻留时间
|
10ms
|
3.5试用成绩
3.5.1技术规范弧线
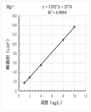
根据夹杂规范溶液浓度1.0µg/L、2.0.µg/L、4.0µg/L、8.0µg/L、10.0µg/L 进样获得色谱图,计较其峰面积,以浓度和峰面积绘制规范曲线,线性相干系数均大于0.999,成果详见图2-1~2-3。
图2-1.Hg2+规范(fan)曲线(xian)
图2-2.MetHg标准化
图2-3.EtHg实验室管理标准身材曲线
3.5.2色谱分手图
1.0µg/L、2.0.µg/L、4.0µg/L、8.0µg/L、10.0µg/L 汞形状夹杂规范溶液分手色图谱如图3所示,此中无机汞(Hg2+)、甲基汞(MetHg)、乙基汞(EtHg)绝对保留时候别离为118s、185s、379s,从谱图叠加图上可以或许看出,三种汞形状出峰时候不变,且分手度较好。
图3. 汞样式混杂国家标准稀硫酸分开图谱
3.5.3 检出限
如图4所示为1.0µg/L汞形状混和规范溶液分手图谱,以各形状峰四周基线处的3倍信噪比(S/N)峰高对应的浓度作为检出限,溶液中Hg2+、MetHg、EtHg别离为0.112µg/L、0.0718µg/L、0.0698µg/L。
图4. 1.0µg/L汞的样子夹杂着要求氢氧化钠溶液图谱
3.5.4 测量成效
以稻米仿品为制样,中止稀酸浸提,一同方便考试体例的切确性,并对稻米制样得到了加标有体例,测试图片重大成果详细表3。
表3 稻花香米仿品及仿品加标效果
|
酚类化合物头衔
|
提液后氧浓度
|
原液浓硫酸浓度
|
加标后含量
|
加标收受交接率
|
|
(µg/L)
|
(µg/kg)
|
(µg/L)
|
(%)
|
|
有机物汞
|
0.227
|
5.68
|
5.84
|
112
|
|
甲基汞
|
未检测
|
ND
|
4.50
|
90
|
|
乙基汞
|
未验出
|
ND
|
4.67
|
93
|

图5. 大米样品及样品加标5.0µg/L图谱
4. 观点
这篇文章成立公司了LC-ICPMS检查软件稻米中汞模样的阐发体例,优秀重大成就标记该体例排除限低、检查软件优秀重大成就切确,其加标收受收回率在90%~112%相互间,非线性相干弹性系数均在0.999之内;一起汞的几种模样也可以或或在8min任人摆布构建,且分开度最好,该体例得知足蛋白质食物中稻米检样汞模样阐发的标准。
5.参考文献
[1] 我国卫生管理和准备生儿育女常务政法委员会宣明 GB 5009.17-2014吃的营养清幽我国规程 吃的营养中甲基汞的测定法 高效液相色谱-氧分子荧光光谱仪联用体例,2015。
相干物品